千维计算器手机版涵盖长度、面积、体积、质量、温度、时间等多维单位换算功能,千维计算器设计简单明了,用户通过简单的输入即可快速获得换算结果。 千维计算器手机版下载支持常用和专业单位,适合学习、工作和日常生活的各种场景。方便用户查找和复用常用转换。
千维计算器手机版如何创建自定义公式
1.首先,我们点击下面蓝色按钮中的第一个【免费配方】按钮。
2.然后点击右上角的【+】创建自定义公式。
3、第一行填写【公式名称】,第二行填写【公式内容】,点击右上角【】保存。
4. 保存完成后,您可以在【公式列表】底部看到创建的公式。
5、点击进入公式,【输入】对应的数值,自动完成计算。
千维计算器手机版最小二乘法如何计算
1、首先在方格纸上画出n个数据测量值。如果有线性趋势,可以进行最小二乘法(线性回归法)。
2.然后计算这n个数据点的横坐标和纵坐标的平均值:
3、然后计算所有点的横坐标之和以及所有点的纵坐标之和:
4.然后计算每个数据点横坐标的平方,然后求和,并计算每个点的横坐标乘以纵坐标的乘积,然后求和:
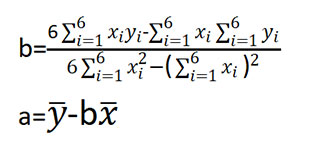
5、最后用两个公式计算出所需直线方程中的截距a和斜率b,将其代入上式中:
6、求出两个参数a、b,即可得到直线方程:y=ax+b。这时候我们也需要用到这个方程。首先,分两点。这两个点要求横坐标x1和x2相距较远,所以误差会比较小(太近的两个点误差会比较大),然后将它们代入刚才找到的直线方程y=ax+b,找到对应的y1和y2,然后在方格纸上描出点(x1,y1)和(x2,y2),这样就可以用这两个点画出最终的回归直线了。
7、用户可以按照上述创建自定义公式的方法在千维计算器中创建最小二乘公式,然后进行便捷的计算。
千维计算器手机版功能说明
1.自动保存计算过程,并支持手动点击“=”手动保存计算记录。
2.语音自动播报按键效果,支持设置按键点击音效或静音。
3、计算支持四种算术运算和逐步计算两种模式。可直接切换界面,实时显示计算结果。
4.支持国际主流工程计量单位转换
5.支持36以内碱基之间自由转换
6.支持厘米尺等实用生活工具
7.高精度计算,支持28位有效数字和15位小数位
8.千维计算器手机版支持主流三角函数和平方根函数计算
千维计算器手机版强烈推荐
1、功能设置专业,多种计算模式方便快捷。
2.免费使用更多不同的工具,在计算过程中享受更准确的数据。
3、输入需要填写的数字,即可进行逐步计算。
4.千维计算器手机版最常见的四种算术运算,方便快速查找和使用。



